Lompat ke konten Lompat ke sidebar Lompat ke footer

Cara Mengalikan Matriks - Perkalian Matriks Rumus Sifat Dan Contoh Soal / Tentukanlah matriks berordo 5 × 5, dengan aturan:

Cara Mengalikan Matriks - Perkalian Matriks Rumus Sifat Dan Contoh Soal / Tentukanlah matriks berordo 5 × 5, dengan aturan:. Nah, itulah hasil pengkuadratan dari sebuah matriks. Untuk lebih jelasnya simak contoh di bawah ini: Misal terdapat sebuah matriks a dan matriks b. Untuk melakukannya secara mudah, kamu bisa menggunakan bentuk rumus array. Cara mengalikan matriks di excel terkadang, kamu juga perlu melakukan perkalian terhadap matriks angka yang kamu punyai di excel.

Tentu saja prosesnya panjang, apalagi jika matriks yang kita kalikan ukurannya lebih besar dari 2×2, misalkan 3×3, 4×4, dll, tentu saja prosesnya akan lebih panjang, apalagi kalau kita. Cara mengalikan dua buah matriks adalah dengan memasangkan baris pada matriks sebelah kiri dengan kolom matriks sebelah kanan (baris pertama dengan kolom pertama, baris kedua dengan kolom kedua, baris ketiga dengan kolom ketiga dan seterusnya). Ordo 2x3 dan ordo 3x2semoga bermanfaat.jangan lupa coment buat channel ini. Untuk metode yang diterapkan dalam rumus perhitungan perkalian bilangan matriks yaitu dengan cara memasangkan baris yang sudah ada pada matriks pertama dengan kolom yang ada dalam matriks kedua. Perkalian sebuah matriks merupakan salah satu operasi dasar matriks yang cukup kompleks.

Contoh Soal Matriks Pengertian Jenis Jenis Sifat Operasi Invers Jawaban Notasi Dan Ordo Penjumlahan Pengurangan Perkalian Transpose Skalar Determinan Matematika
Contoh Soal Matriks Pengertian Jenis Jenis Sifat Operasi Invers Jawaban Notasi Dan Ordo Penjumlahan Pengurangan Perkalian Transpose Skalar Determinan Matematika from 3.bp.blogspot.com
Karena berdasarkan ukuran dari kedua matriks yang akan kita kalikan akan menghasilkan matriks berukuran 3 x 4 maka silahkan anda pilih sel seukuran tersebut misalnya kita pilih sel a5 sampai d 7 dengan memblok area tersebut. Mari perhatikan contoh soal perkalian matriks skalar berikut: Untuk mengalikan dua matriks, silahkan baca di link berikut : Misal terdapat sebuah matriks a dan matriks b. Biasanya scalar dilambangkan dengan huruf k. Perkalian sebuah matriks merupakan salah satu operasi dasar matriks yang cukup kompleks. Silahkan baca cara mengalikan matriks pada link diatas jika masih belum paham. Cara menghitung perkalian matriks menggunakan ms excel pada office 2016 dan sebelumnya, perkalian matriks pada excel, matriks pada excel 2016fungsi operasi m.

Tentu saja prosesnya panjang, apalagi jika matriks yang kita kalikan ukurannya lebih besar dari 2×2, misalkan 3×3, 4×4, dll, tentu saja prosesnya akan lebih panjang, apalagi kalau kita.

Misal terdapat sebuah matriks a dan matriks b. Cara mengalikan dua buah matriks adalah mengalikan antar baris dan kolom. Terimakasih udah menontonmatematika smk tkpmatriks; Pada saat duduk dibangku sekolah inilah kalian akan di ajarkan oleh guru kalian mengenai perkalian matriks dengan matriks. Matriks adalah s usunan bilangan, simbol, atau karakter yang disusun atas baris dan kolom seperti bangun persegi. Pada proses ini anda akan mengalikan setiap elemen pada baris sebuah matriks dengan setiap elemen pada kolom matriks kedua, kemudian hasilnya dijumlahkan dan menjadi elemen di matriks baru. Cara mengalikan matriks di excel terkadang, kamu juga perlu melakukan perkalian terhadap matriks angka yang kamu punyai di excel. Ada beberapa tutorial tentang matriks yang disajikan oleh imath tutorial. Karena kedua persamaan di atas sama nilai skalarnya, proses ini terlihat seperti pembagian matriks, tetapi kita tetap perlu menggunakan istilah yang benar. Cara menghitung perkalian matriks menggunakan ms excel pada office 2016 dan sebelumnya, perkalian matriks pada excel, matriks pada excel 2016fungsi operasi m. Cara yang paling mendekati adalah mengalikan dengan invers matriks lainnya. Inisialisasi array c dua dimensi sebagai matrix hasil perkalian matrix 22 dan 23 yang menghasilkan matrix dengan ordo 23 juga sebagai c. Perkalian matriks dengan scalar :

Kemudian kalikan setiap elemen yang bersesuaian dan hasilnya kemudian dijumlahkan. Secara umum, berikut bentuk penulisan perkalian matriks yang bisa dilakukan di excel. Cara mudah dan benar mengalikan atau perkalian matriks ordo 2x2 dan ordo 2x3 youtube. Cara mengalikan dua buah matriks adalah dengan memasangkan baris pada matriks sebelah kiri dengan kolom matriks sebelah kanan (baris pertama dengan kolom pertama, baris kedua dengan kolom kedua, baris ketiga dengan kolom ketiga dan seterusnya). Mari perhatikan contoh soal perkalian matriks skalar berikut:

Perkalian Matriks Ordo 3x3 Youtube
Perkalian Matriks Ordo 3x3 Youtube from i.ytimg.com
Ada beberapa tutorial tentang matriks yang disajikan oleh imath tutorial. Inisialisasi array c dua dimensi sebagai matrix hasil perkalian matrix 22 dan 23 yang menghasilkan matrix dengan ordo 23 juga sebagai c. Untuk metode yang diterapkan dalam rumus perhitungan perkalian bilangan matriks yaitu dengan cara memasangkan baris yang sudah ada pada matriks pertama dengan kolom yang ada dalam matriks kedua. Terimakasih udah menontonmatematika smk tkpmatriks; Berikut rumus contoh soal dan pembahasan perkalian matriks 3x2 2x2 2x3 3x1 4x4 dst. Perhatikan apa saja yang harus dikali agar hasilnya nanti benar. Kemudian kalikan setiap elemen yang bersesuaian dan hasilnya kemudian dijumlahkan. Cara mengalikan dua buah matriks adalah mengalikan antar baris dan kolom.

Untuk melakukannya secara mudah, kamu bisa menggunakan bentuk rumus array.

Cara mudah dan benar mengalikan atau perkalian matriks ordo 2x2 dan ordo 2x3 youtube. Data gaji tiga karyawan per bulannya di sebuah perusahaan yang meliputi gaji pokok, tunjangan, dan uang makan siang yang dimasukkan ke dalam matriks. Pada proses ini anda akan mengalikan setiap elemen pada baris sebuah matriks dengan setiap elemen pada kolom matriks kedua, kemudian hasilnya dijumlahkan dan menjadi elemen di matriks baru. Secara matematis, operasi perkalian matriks dengan skalar dapat diasumsikan sebagai berikut: Apabila k merupakan suatu bilangan dan a suatu matriks maka k a merupakan matriks yang diperoleh dengan mengalikan setiap elemen atau anggota matriks a dengan k. Coba selesaikan soal perkalian matriks 2x2 di bawah ini dengan mengikuti cara perkalian yang tergambar di skema perkalian antar matik dan mengikuti kaidah matriks. Perhatikan apa saja yang harus dikali agar hasilnya nanti benar. Tentu saja prosesnya panjang, apalagi jika matriks yang kita kalikan ukurannya lebih besar dari 2×2, misalkan 3×3, 4×4, dll, tentu saja prosesnya akan lebih panjang, apalagi kalau kita. Untuk mengalikan dua matriks, silahkan baca di link berikut : Inisialisasi array c dua dimensi sebagai matrix hasil perkalian matrix 22 dan 23 yang menghasilkan matrix dengan ordo 23 juga sebagai c. Perkalian matriks ordo 2x2 dengan 2x3. Misal terdapat sebuah matriks a dan matriks b. Cara melakukan operasi hitung perkalian matriks perlu mengalikan setiap elemen baris matriks pertama dengan setiap elemen kolom matriks ke dua.

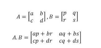
Penjelasan perkalian matriks 2 x 2 dalam gambar dapat dilihat seperti berikut. Untuk mengalikan dua matriks, silahkan baca di link berikut : Cara menghitung perkalian matriks menggunakan ms excel pada office 2016 dan sebelumnya, perkalian matriks pada excel, matriks pada excel 2016fungsi operasi m. Mengalikan dua buah matriks selanjutnya, kita kalikan dua matriks itu. A0 = 0a = a.

Perkalian Matriks Ordo 3x3 Youtube
Perkalian Matriks Ordo 3x3 Youtube from i.ytimg.com
Nah, itulah hasil pengkuadratan dari sebuah matriks. Perkalian sebuah matriks merupakan salah satu operasi dasar matriks yang cukup kompleks. Pada proses ini anda akan mengalikan setiap elemen pada baris sebuah matriks dengan setiap elemen pada kolom matriks kedua, kemudian hasilnya dijumlahkan dan menjadi elemen di matriks baru. Perkalian matriks dengan skalar dilakukan dengan cara mengalikan setiap elemen matriks dengan skalar tersebut, dan menghasilkan matriks dengan ordo seperti matriks yang dikalikan. Cara untuk mengalikan matriks dengan ordo yang sama yaitu seperti yang dijelaskan ulasan diawal artikel ini, bahwa perkalian matriks caranya dengan mengalikan tiap elemen pada baris pertama di matriks a dengan elemen di kolom pertama matriks b. Cara menghitung perkalian matriks menggunakan ms excel pada office 2016 dan sebelumnya, perkalian matriks pada excel, matriks pada excel 2016fungsi operasi m. Microsoft excel telah menyediakan fungsi khusus untuk perkalian antar matriks. Untuk lebih jelasnya simak contoh di bawah ini:

Apabila k merupakan suatu bilangan dan a suatu matriks maka k a merupakan matriks yang diperoleh dengan mengalikan setiap elemen atau anggota matriks a dengan k.

Cara mudah dan benar mengalikan atau perkalian matriks ordo 2x2 dan ordo 2x3 youtube. Berikut rumus contoh soal dan pembahasan perkalian matriks 3x2 2x2 2x3 3x1 4x4 dst. Kemudian untuk matriks yang tidak memiliki invers disebut denga matriks singular. Coba selesaikan soal perkalian matriks 2x2 di bawah ini dengan mengikuti cara perkalian yang tergambar di skema perkalian antar matik dan mengikuti kaidah matriks. Karena berdasarkan ukuran dari kedua matriks yang akan kita kalikan akan menghasilkan matriks berukuran 3 x 4 maka silahkan anda pilih sel seukuran tersebut misalnya kita pilih sel a5 sampai d 7 dengan memblok area tersebut. Kemudian kalikan setiap elemen yang bersesuaian dan hasilnya kemudian dijumlahkan. Biasanya scalar dilambangkan dengan huruf k. Perhatikan apa saja yang harus dikali agar hasilnya nanti benar. Matriks, jawaban soal tvri 24 agustus 2020 untuk sma. Perkalian matriks dengan skalar dilakukan dengan cara mengalikan setiap elemen matriks dengan skalar tersebut, dan menghasilkan matriks dengan ordo seperti matriks yang dikalikan. Cara menghitung perkalian matriks menggunakan ms excel pada office 2016 dan sebelumnya, perkalian matriks pada excel, matriks pada excel 2016fungsi operasi m. Sehingga, perkalian matriks dengan bilangan real disebut dengan perkalian matriks skalar. Perkalian sebuah matriks merupakan salah satu operasi dasar matriks yang cukup kompleks.

Posting Komentar untuk "Cara Mengalikan Matriks - Perkalian Matriks Rumus Sifat Dan Contoh Soal / Tentukanlah matriks berordo 5 × 5, dengan aturan:"